Přejít k hlavnímu obsahu

Řezníčková Eva

Journals

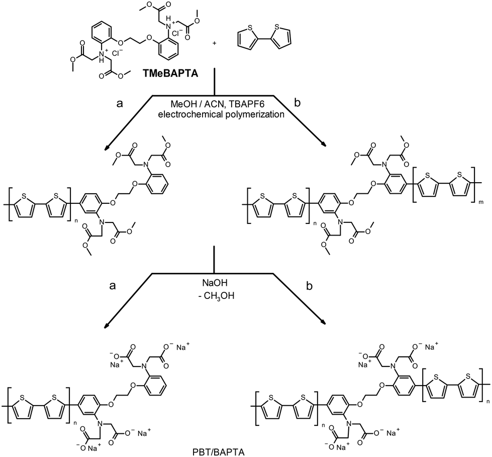
JANIC, N., H. ZHUKOUSKAYA, P. CERNOCH, J. PANEK, J. SVOBODA, M. HAJNA, E. ŘEZNÍČKOVÁ, E. TOMSIK, M. HRUBY
BAPTA-based potentiometric polymer sensor: towards sensing inflammations and infections. Journal of Materials Chemistry. B. 2025, 13(13), 4157-4165, ISSN: 2050-750X, PMID: 40047457,  PDF.
KOVALOVA, M., L. HAVLICEK, S. DJUKIC, J. SKERLOVA, M. PERINA, T. POSPÍŠIL, E. ŘEZNÍČKOVÁ, P. ŘEZÁČOVÁ, R. JORDA, V. KRYŠTOF
Characterization of new highly selective pyrazolo[4,3-d]pyrimidine inhibitor of CDK7. Biomedicine & Pharmacotherapy. 2023, 161, 114492, ISSN: 0753-3322, PMID: 36931035,  PDF.
Anticancer effect of zanubrutinib in HER2-positive breast cancer cell lines. Investigational New Drugs. 2023, 41(2), 210-219, ISSN: 0167-6997, PMID: 36913160,